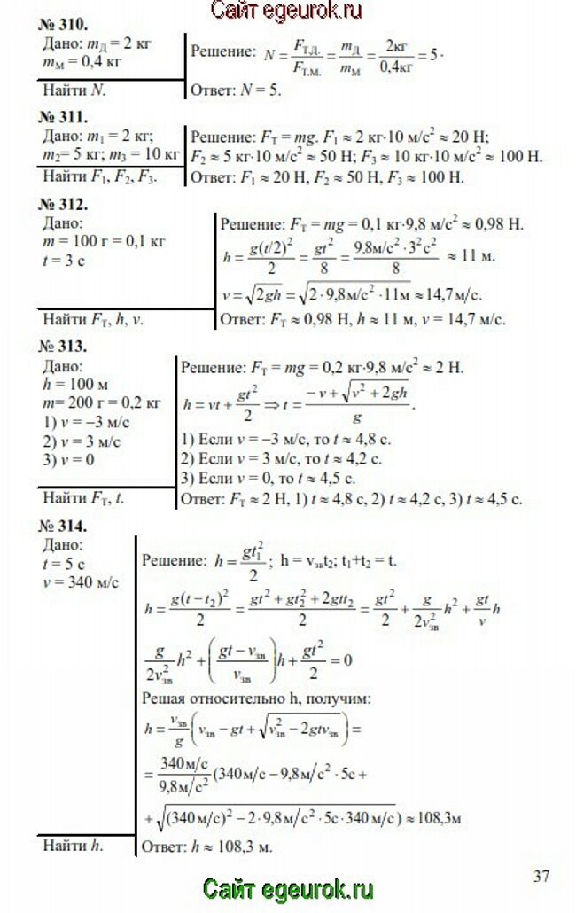
Решебник и ГДЗ по физике 7, 8, 9 класс Лукашик - задачи №310-314


Вернуться на главную страницу сайта - vpr-klass.com

Решение задач 303-309 Смотреть все задания Решение задач 315-320

Решебник физика 7, 8, 9 класс Лукашик - задачник: задачи номер №310-314.

Решебник и ГДЗ по физике 7-9 класс Лукашик - решение задачи номер №310-314.
Решение задач 303-309 Смотреть все задания Решение задач 315-320


Вернуться на главную страницу сайта vpr-klass.com