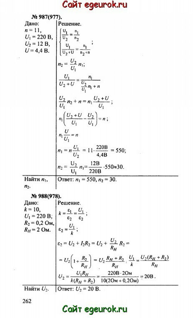
Решебник и ГДЗ по физике 10-11 класс Рымкевич - задачи №987-988


Вернуться на главную страницу сайта - vpr-klass.com

Решение задач 979-986 Смотреть все задания Решение задач 989-991

Решебник физика 10-11 класс Рымкевич - задачник: задачи номер №987-988.

Решебник и ГДЗ по физике 10-11 класс Рымкевич - решение задачи номер №987-988.
Решение задач 979-986 Смотреть все задания Решение задач 989-991


Вернуться на главную страницу сайта vpr-klass.com