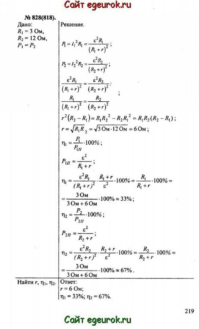
Решебник и ГДЗ по физике 10-11 класс Рымкевич - задачи №828


Вернуться на главную страницу сайта - vpr-klass.com

Решение задач 826-827 Смотреть все задания Решение задач 829-830

Решебник физика 10-11 класс Рымкевич - задачник: задачи номер №828.

Решебник и ГДЗ по физике 10-11 класс Рымкевич - решение задачи номер №828.
Решение задач 826-827 Смотреть все задания Решение задач 829-830


Вернуться на главную страницу сайта vpr-klass.com