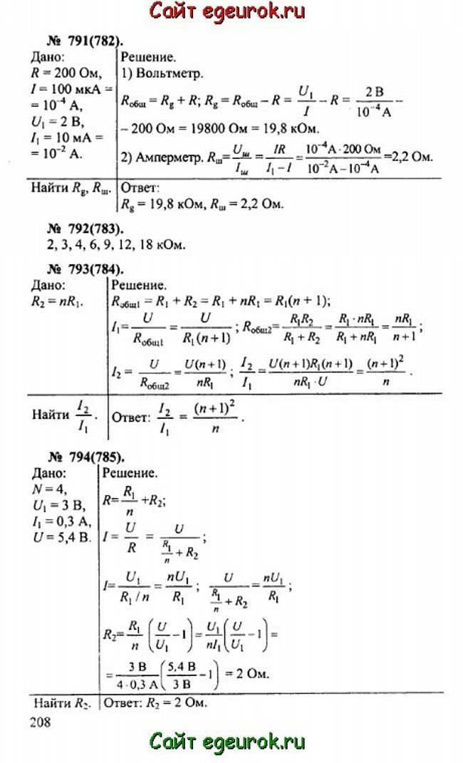
Решебник и ГДЗ по физике 10-11 класс Рымкевич - задачи №791-794


Вернуться на главную страницу сайта - vpr-klass.com

Решение задач 787-790 Смотреть все задания Решение задач 795-797

Решебник физика 10-11 класс Рымкевич - задачник: задачи номер №791-794.

Решебник и ГДЗ по физике 10-11 класс Рымкевич - решение задачи номер №791-794.
Решение задач 787-790 Смотреть все задания Решение задач 795-797


Вернуться на главную страницу сайта vpr-klass.com