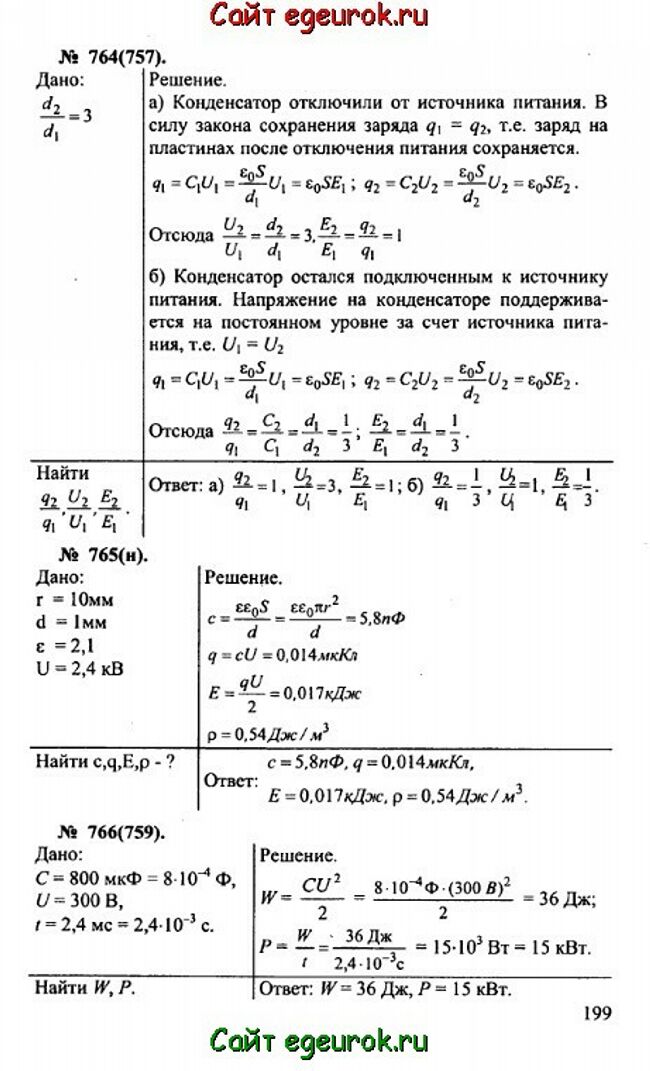
Решебник и ГДЗ по физике 10-11 класс Рымкевич - задачи №764-766


Вернуться на главную страницу сайта - vpr-klass.com

Решение задач 759-763 Смотреть все задания Решение задач 767-771

Решебник физика 10-11 класс Рымкевич - задачник: задачи номер №764-766.

Решебник и ГДЗ по физике 10-11 класс Рымкевич - решение задачи номер №764-766.
Решение задач 759-763 Смотреть все задания Решение задач 767-771


Вернуться на главную страницу сайта vpr-klass.com