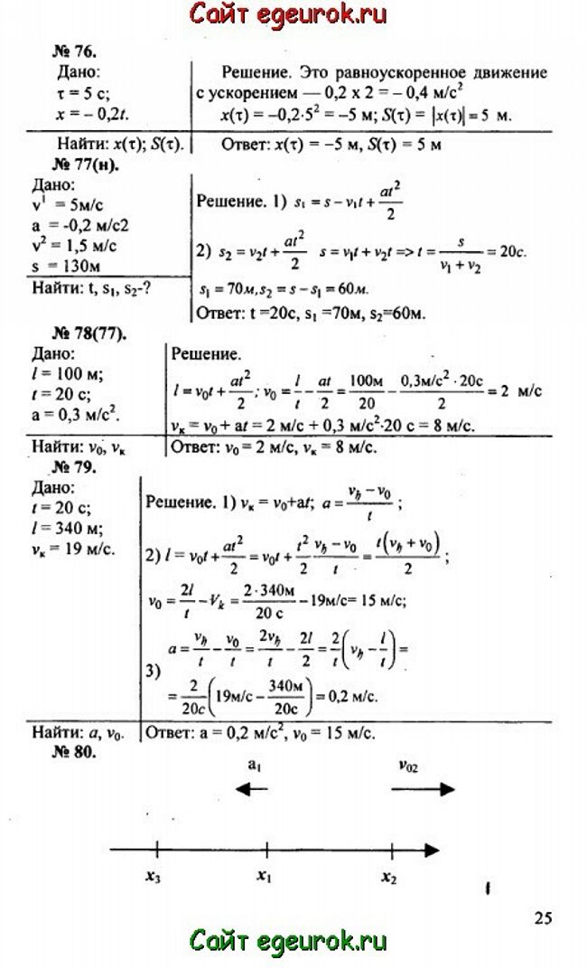
Решебник и ГДЗ по физике 10-11 класс Рымкевич - задачи №76-80


Вернуться на главную страницу сайта - vpr-klass.com

Решение задач 73-75 Смотреть все задания Решение задач 80-82

Решебник физика 10-11 класс Рымкевич - задачник: задачи номер №76-80.

Решебник и ГДЗ по физике 10-11 класс Рымкевич - решение задачи номер №76-80.
Решение задач 73-75 Смотреть все задания Решение задач 80-82


Вернуться на главную страницу сайта vpr-klass.com