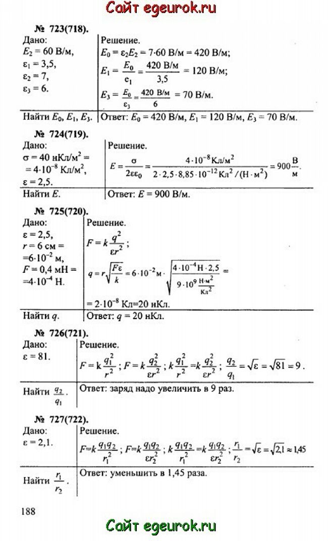
Решебник и ГДЗ по физике 10-11 класс Рымкевич - задачи №723-727


Вернуться на главную страницу сайта - vpr-klass.com

Решение задач 718-722 Смотреть все задания Решение задач 728-730

Решебник физика 10-11 класс Рымкевич - задачник: задачи номер №723-727.

Решебник и ГДЗ по физике 10-11 класс Рымкевич - решение задачи номер №723-727.
Решение задач 718-722 Смотреть все задания Решение задач 728-730


Вернуться на главную страницу сайта vpr-klass.com