Решебник и ГДЗ по физике 10-11 класс Рымкевич - задачи №703-704


Вернуться на главную страницу сайта - vpr-klass.com

Решение задач 702 Смотреть все задания Решение задач 704-705

Решебник физика 10-11 класс Рымкевич - задачник: задачи номер №703-704.

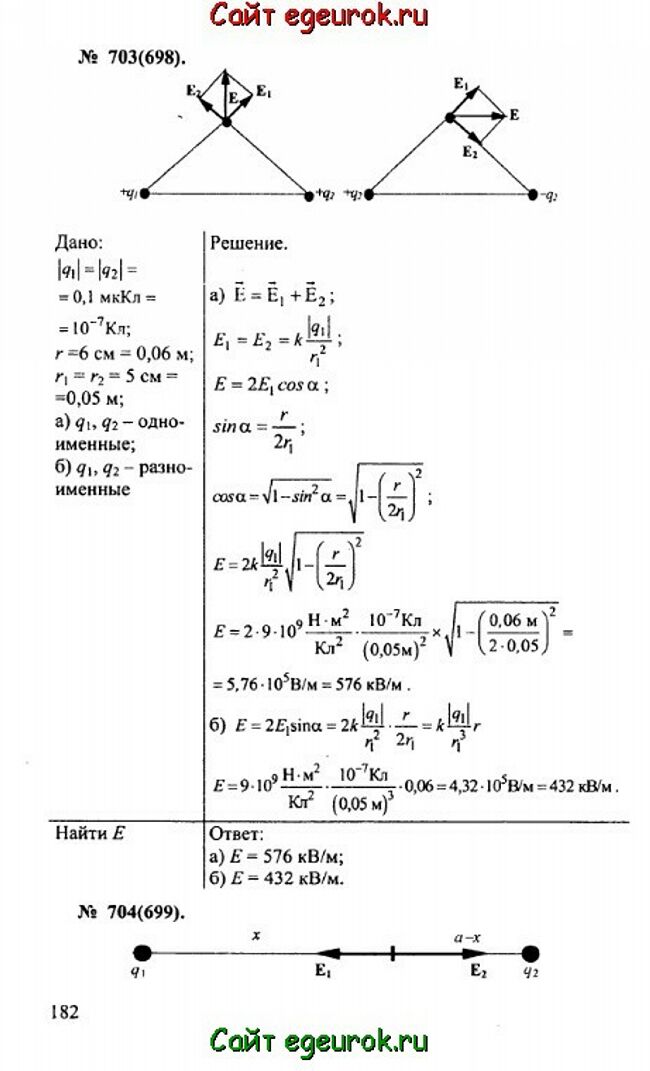
Решебник и ГДЗ по физике 10-11 класс Рымкевич - решение задачи номер №703-704.
Решение задач 702 Смотреть все задания Решение задач 704-705


Вернуться на главную страницу сайта vpr-klass.com