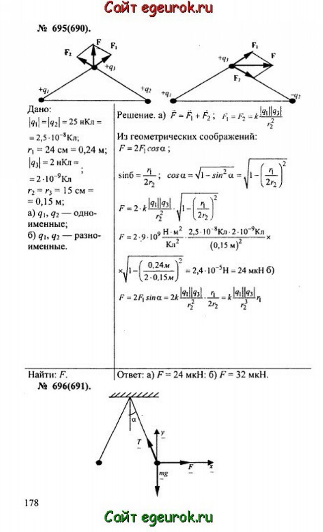
Решебник и ГДЗ по физике 10-11 класс Рымкевич - задачи №695-696


Вернуться на главную страницу сайта - vpr-klass.com

Решение задач 693-694 Смотреть все задания Решение задач 696-699

Решебник физика 10-11 класс Рымкевич - задачник: задачи номер №695-696.

Решебник и ГДЗ по физике 10-11 класс Рымкевич - решение задачи номер №695-696.
Решение задач 693-694 Смотреть все задания Решение задач 696-699


Вернуться на главную страницу сайта vpr-klass.com