Решебник и ГДЗ по физике 10-11 класс Рымкевич - задачи №681


Вернуться на главную страницу сайта - vpr-klass.com

Решение задач 678-681 Смотреть все задания Решение задач 682-683

Решебник физика 10-11 класс Рымкевич - задачник: задачи номер №681.

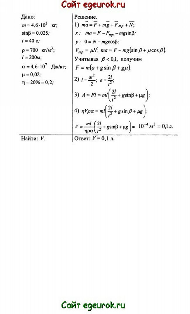
Решебник и ГДЗ по физике 10-11 класс Рымкевич - решение задачи номер №681.
Решение задач 678-681 Смотреть все задания Решение задач 682-683


Вернуться на главную страницу сайта vpr-klass.com