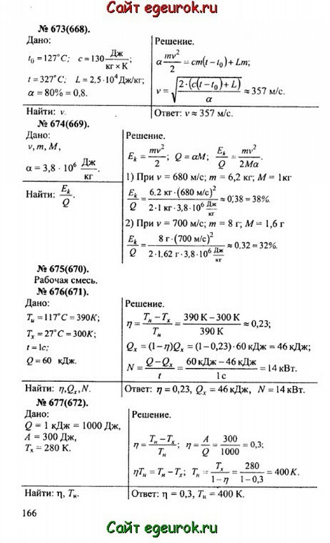
Решебник и ГДЗ по физике 10-11 класс Рымкевич - задачи №673-677


Вернуться на главную страницу сайта - vpr-klass.com

Решение задач 669-672 Смотреть все задания Решение задач 678-681

Решебник физика 10-11 класс Рымкевич - задачник: задачи номер №673-677.

Решебник и ГДЗ по физике 10-11 класс Рымкевич - решение задачи номер №673-677.
Решение задач 669-672 Смотреть все задания Решение задач 678-681


Вернуться на главную страницу сайта vpr-klass.com