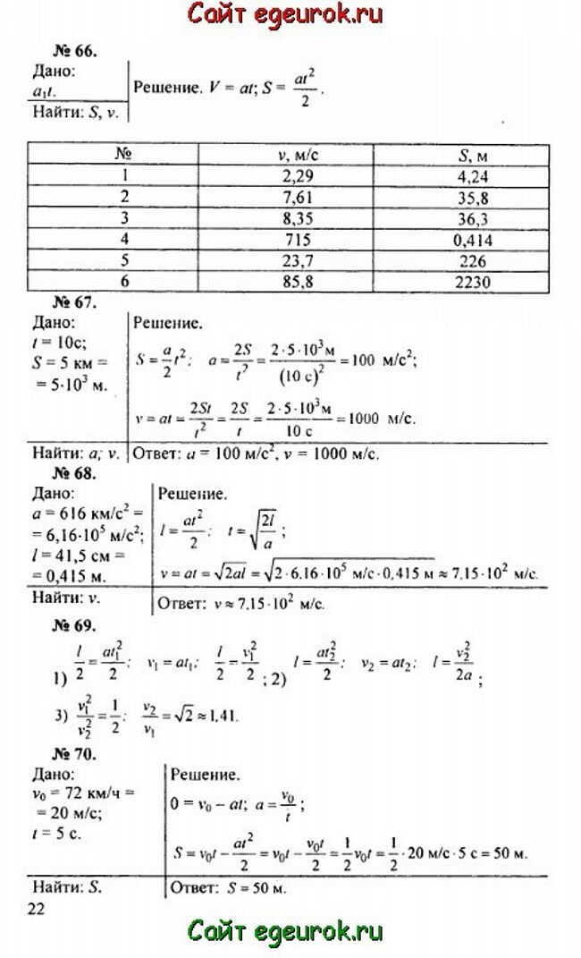
Решебник и ГДЗ по физике 10-11 класс Рымкевич - задачи №66-70


Вернуться на главную страницу сайта - vpr-klass.com

Решение задач 60-65 Смотреть все задания Решение задач 71-72

Решебник физика 10-11 класс Рымкевич - задачник: задачи номер №66-70.

Решебник и ГДЗ по физике 10-11 класс Рымкевич - решение задачи номер №66-70.
Решение задач 60-65 Смотреть все задания Решение задач 71-72


Вернуться на главную страницу сайта vpr-klass.com