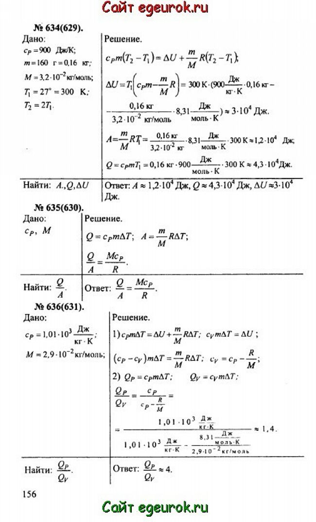
Решебник и ГДЗ по физике 10-11 класс Рымкевич - задачи №634-636


Вернуться на главную страницу сайта - vpr-klass.com

Решение задач 629-633 Смотреть все задания Решение задач 637-641

Решебник физика 10-11 класс Рымкевич - задачник: задачи номер №634-636.

Решебник и ГДЗ по физике 10-11 класс Рымкевич - решение задачи номер №634-636.
Решение задач 629-633 Смотреть все задания Решение задач 637-641


Вернуться на главную страницу сайта vpr-klass.com