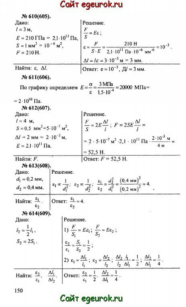
Решебник и ГДЗ по физике 10-11 класс Рымкевич - задачи №610-614


Вернуться на главную страницу сайта - vpr-klass.com

Решение задач 604-609 Смотреть все задания Решение задач 615-618

Решебник физика 10-11 класс Рымкевич - задачник: задачи номер №610-614.

Решебник и ГДЗ по физике 10-11 класс Рымкевич - решение задачи номер №610-614.
Решение задач 604-609 Смотреть все задания Решение задач 615-618


Вернуться на главную страницу сайта vpr-klass.com