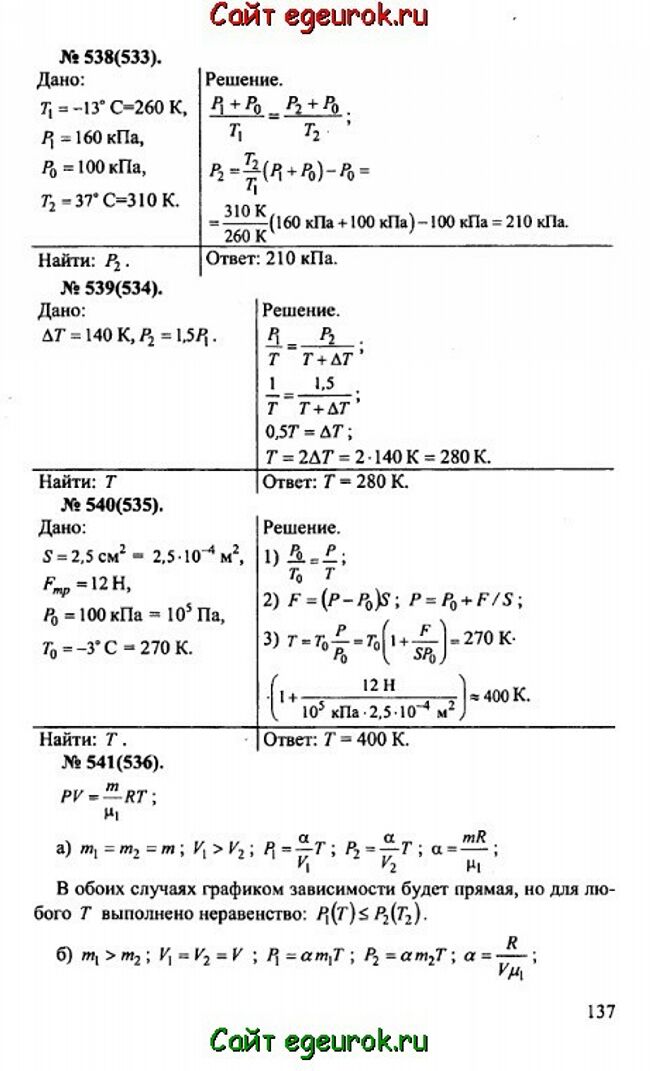
Решебник и ГДЗ по физике 10-11 класс Рымкевич - задачи №538-541


Вернуться на главную страницу сайта - vpr-klass.com

Решение задач 532-537 Смотреть все задания Решение задач 541-545

Решебник физика 10-11 класс Рымкевич - задачник: задачи номер №538-541.

Решебник и ГДЗ по физике 10-11 класс Рымкевич - решение задачи номер №538-541.
Решение задач 532-537 Смотреть все задания Решение задач 541-545


Вернуться на главную страницу сайта vpr-klass.com