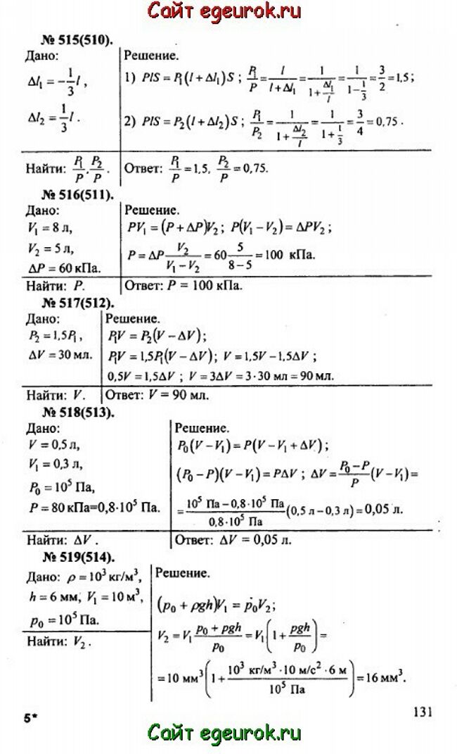
Решебник и ГДЗ по физике 10-11 класс Рымкевич - задачи №515-519


Вернуться на главную страницу сайта - vpr-klass.com

Решение задач 510-514 Смотреть все задания Решение задач 520-522

Решебник физика 10-11 класс Рымкевич - задачник: задачи номер №515-519.

Решебник и ГДЗ по физике 10-11 класс Рымкевич - решение задачи номер №515-519.
Решение задач 510-514 Смотреть все задания Решение задач 520-522


Вернуться на главную страницу сайта vpr-klass.com