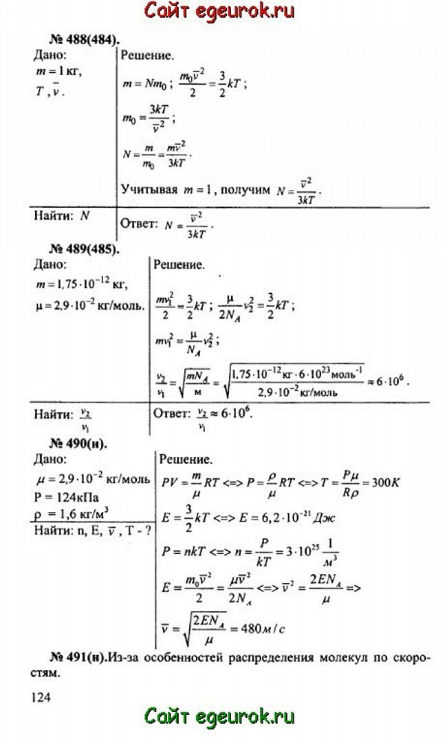
Решебник и ГДЗ по физике 10-11 класс Рымкевич - задачи №488-491


Вернуться на главную страницу сайта - vpr-klass.com

Решение задач 483-487 Смотреть все задания Решение задач 492-495

Решебник физика 10-11 класс Рымкевич - задачник: задачи номер №488-491.

Решебник и ГДЗ по физике 10-11 класс Рымкевич - решение задачи номер №488-491.
Решение задач 483-487 Смотреть все задания Решение задач 492-495


Вернуться на главную страницу сайта vpr-klass.com