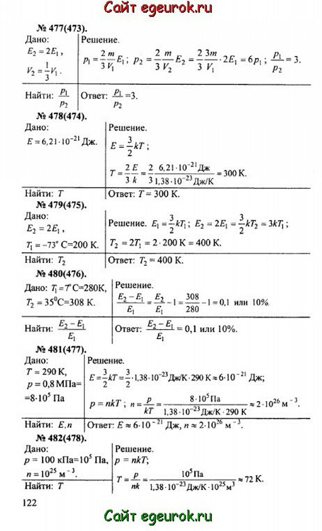
Решебник и ГДЗ по физике 10-11 класс Рымкевич - задачи №477-482


Вернуться на главную страницу сайта - vpr-klass.com

Решение задач 472-476 Смотреть все задания Решение задач 483-487

Решебник физика 10-11 класс Рымкевич - задачник: задачи номер №477-482.

Решебник и ГДЗ по физике 10-11 класс Рымкевич - решение задачи номер №477-482.
Решение задач 472-476 Смотреть все задания Решение задач 483-487


Вернуться на главную страницу сайта vpr-klass.com