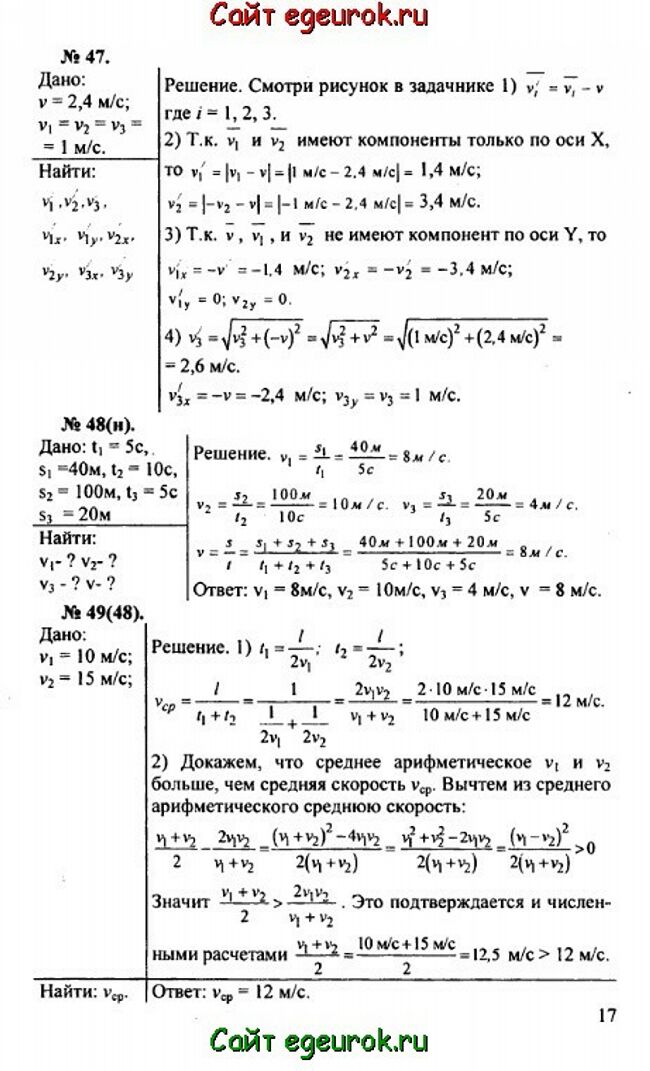
Решебник и ГДЗ по физике 10-11 класс Рымкевич - задачи №47-49


Вернуться на главную страницу сайта - vpr-klass.com

Решение задач 45-46 Смотреть все задания Решение задач 50-54

Решебник физика 10-11 класс Рымкевич - задачник: задачи номер №47-49.

Решебник и ГДЗ по физике 10-11 класс Рымкевич - решение задачи номер №47-49.
Решение задач 45-46 Смотреть все задания Решение задач 50-54


Вернуться на главную страницу сайта vpr-klass.com