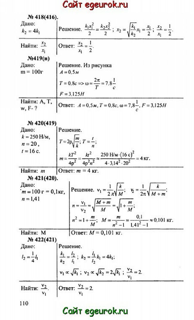
Решебник и ГДЗ по физике 10-11 класс Рымкевич - задачи №418-422


Вернуться на главную страницу сайта - vpr-klass.com

Решение задач 411-417 Смотреть все задания Решение задач 423-428

Решебник физика 10-11 класс Рымкевич - задачник: задачи номер №418-422.

Решебник и ГДЗ по физике 10-11 класс Рымкевич - решение задачи номер №418-422.
Решение задач 411-417 Смотреть все задания Решение задач 423-428


Вернуться на главную страницу сайта vpr-klass.com