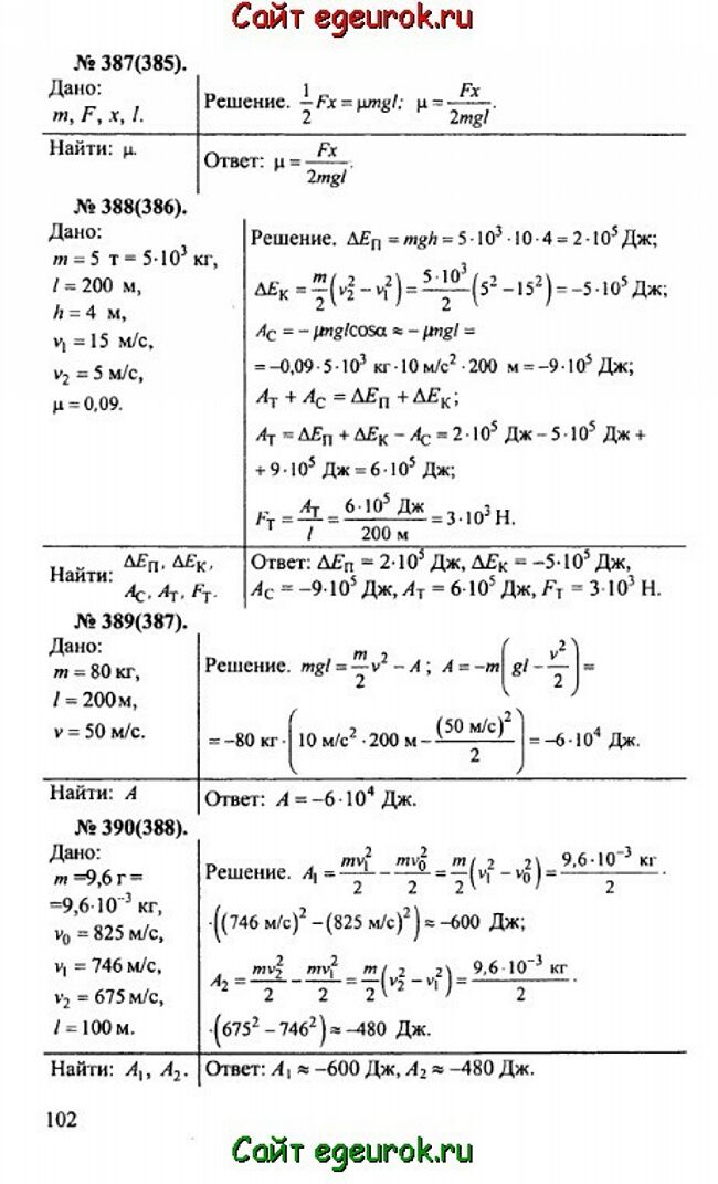
Решебник и ГДЗ по физике 10-11 класс Рымкевич - задачи №387-390


Вернуться на главную страницу сайта - vpr-klass.com

Решение задач 382-386 Смотреть все задания Решение задач 391-396

Решебник физика 10-11 класс Рымкевич - задачник: задачи номер №387-390.

Решебник и ГДЗ по физике 10-11 класс Рымкевич - решение задачи номер №387-390.
Решение задач 382-386 Смотреть все задания Решение задач 391-396


Вернуться на главную страницу сайта vpr-klass.com