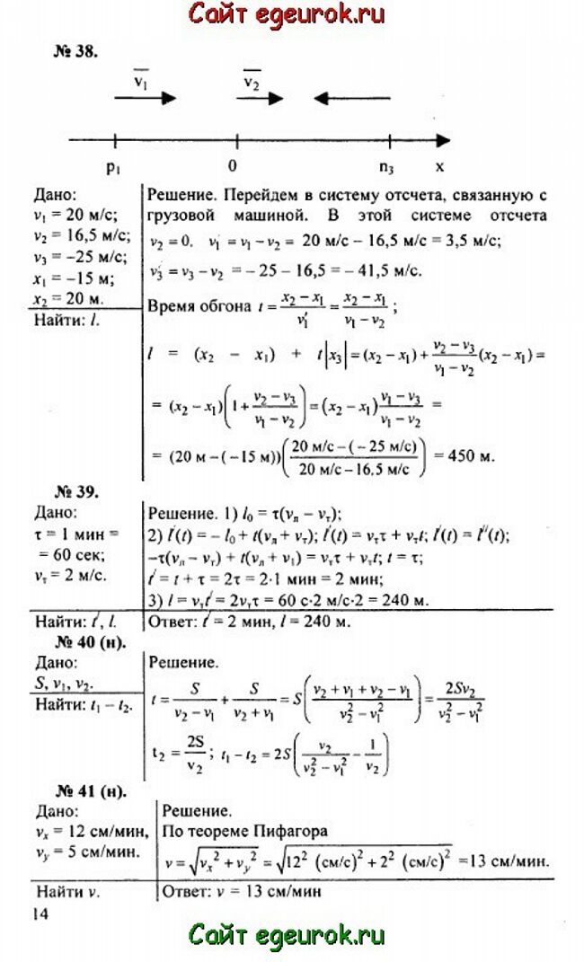
Решебник и ГДЗ по физике 10-11 класс Рымкевич - задачи №38-41


Вернуться на главную страницу сайта - vpr-klass.com

Решение задач 32-37 Смотреть все задания Решение задач 42-45

Решебник физика 10-11 класс Рымкевич - задачник: задачи номер №38-41.

Решебник и ГДЗ по физике 10-11 класс Рымкевич - решение задачи номер №38-41.
Решение задач 32-37 Смотреть все задания Решение задач 42-45


Вернуться на главную страницу сайта vpr-klass.com