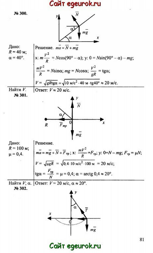
Решебник и ГДЗ по физике 10-11 класс Рымкевич - задачи №300-302


Вернуться на главную страницу сайта - vpr-klass.com

Решение задач 298-299 Смотреть все задания Решение задач 302-304

Решебник физика 10-11 класс Рымкевич - задачник: задачи номер №300-302.

Решебник и ГДЗ по физике 10-11 класс Рымкевич - решение задачи номер №300-302.
Решение задач 298-299 Смотреть все задания Решение задач 302-304


Вернуться на главную страницу сайта vpr-klass.com