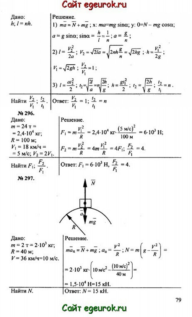
Решебник и ГДЗ по физике 10-11 класс Рымкевич - задачи №295-297


Вернуться на главную страницу сайта - vpr-klass.com

Решение задач 293-295 Смотреть все задания Решение задач 298-299

Решебник физика 10-11 класс Рымкевич - задачник: задачи номер №295-297.

Решебник и ГДЗ по физике 10-11 класс Рымкевич - решение задачи номер №295-297.
Решение задач 293-295 Смотреть все задания Решение задач 298-299


Вернуться на главную страницу сайта vpr-klass.com