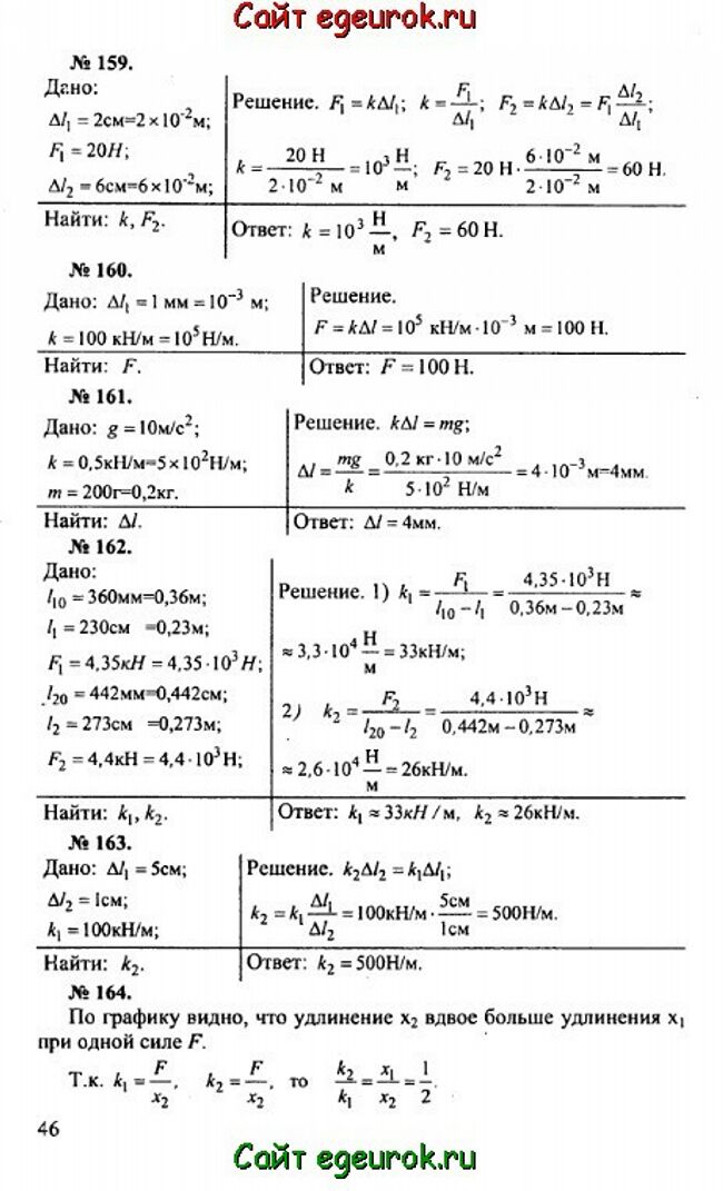
Решебник и ГДЗ по физике 10-11 класс Рымкевич - задачи №159-164


Вернуться на главную страницу сайта - vpr-klass.com

Решение задач 150-158 Смотреть все задания Решение задач 165-170

Решебник физика 10-11 класс Рымкевич - задачник: задачи номер №159-164.

Решебник и ГДЗ по физике 10-11 класс Рымкевич - решение задачи номер №159-164.
Решение задач 150-158 Смотреть все задания Решение задач 165-170


Вернуться на главную страницу сайта vpr-klass.com