Решебник и ГДЗ по физике 10-11 класс Рымкевич - задачи №1241-1243


Вернуться на главную страницу сайта - vpr-klass.com

Решение задач 1232-1240 Смотреть все задания Решение задач 1-10

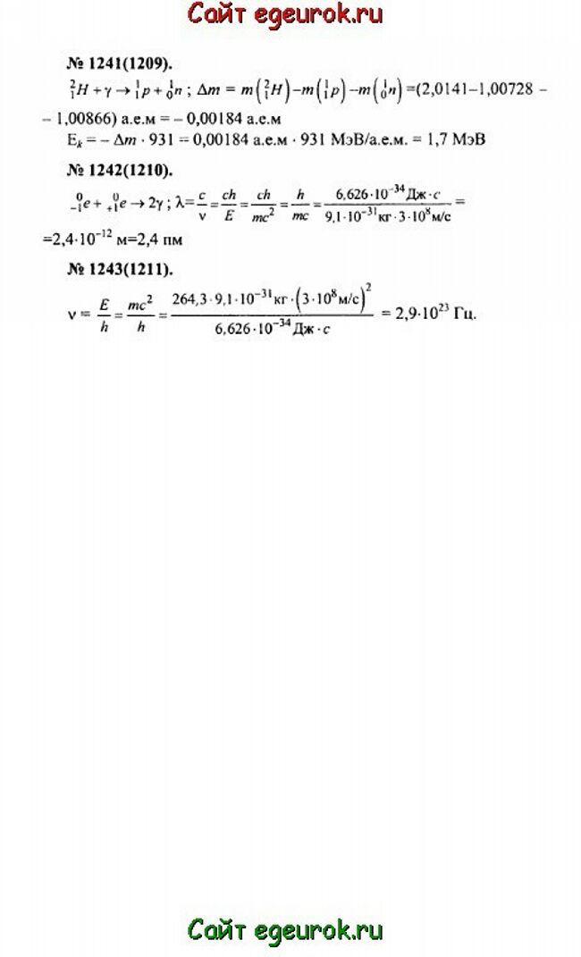
Решебник физика 10-11 класс Рымкевич - задачник: задачи номер №1241-1243.

Решебник и ГДЗ по физике 10-11 класс Рымкевич - решение задачи номер №1241-1243.
Решение задач 1232-1240 Смотреть все задания Решение задач 1-10


Вернуться на главную страницу сайта vpr-klass.com