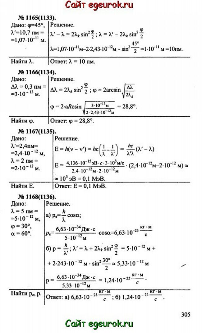
Решебник и ГДЗ по физике 10-11 класс Рымкевич - задачи №1165-1168


Вернуться на главную страницу сайта - vpr-klass.com

Решение задач 1160-1164 Смотреть все задания Решение задач 1169-1171

Решебник физика 10-11 класс Рымкевич - задачник: задачи номер №1165-1168.

Решебник и ГДЗ по физике 10-11 класс Рымкевич - решение задачи номер №1165-1168.
Решение задач 1160-1164 Смотреть все задания Решение задач 1169-1171


Вернуться на главную страницу сайта vpr-klass.com