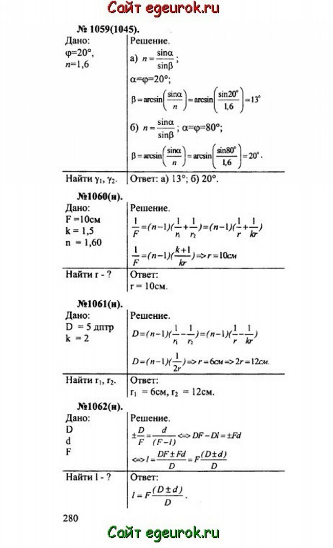
Решебник и ГДЗ по физике 10-11 класс Рымкевич - задачи №1059-1062


Вернуться на главную страницу сайта - vpr-klass.com

Решение задач 1054-1058 Смотреть все задания Решение задач 1063-1064

Решебник физика 10-11 класс Рымкевич - задачник: задачи номер №1059-1062.

Решебник и ГДЗ по физике 10-11 класс Рымкевич - решение задачи номер №1059-1062.
Решение задач 1054-1058 Смотреть все задания Решение задач 1063-1064


Вернуться на главную страницу сайта vpr-klass.com